(LATHAM & WATKINS LLP LOGO)
Sears Tower, Suite 5800
233 S. Wacker Dr.
Chicago, Illinois 60606
Tel: (312) 876-7700 Fax: (312) 993-9767
www.lw.com
     
FIRM / AFFILIATE OFFICES
Brussels
  New York
Chicago
  Northern Virginia
Frankfurt
  Orange County
Hamburg
  Paris
Hong Kong
  San Diego
London
  San Francisco
Los Angeles
  Shanghai
Milan
  Silicon Valley
Moscow
  Singapore
Munich
  Tokyo
New Jersey
  Washington, D.C.
Via EDGAR
August 17, 2007
Securities and Exchange Commission
100 F Street, N.E.
Mailstop 3561
Washington, D.C. 20549
Attention:   H. Christopher Owings
Scott Anderegg
                         Re:   Ulta Salon, Cosmetics & Fragrance, Inc. — Amendment No. 1
Registration Statement on Form S-1
File No. 333-144405
Ladies and Gentlemen:
     On behalf of Ulta Salon, Cosmetics & Fragrance, Inc., a Delaware corporation (the “Company”), we hereby transmit for filing under the Securities Act of 1933, as amended, Amendment No. 1 (the “Amendment”) to the Company’s Registration Statement on Form S-1 (the “Registration Statement”), including certain exhibits, marked to indicate changes from the Registration Statement as originally filed with the Securities and Exchange Commission (the “Commission”) on July 6, 2007. Courtesy copies of this letter and the Amendment (specifically marked to show changes thereto) are being submitted to the Staff of the Commission (the “Staff”) by hand delivery.
     The Amendment reflects the responses of the Company to comments received from the Staff in a letter from H. Christopher Owings, dated August 3, 2007 (the “Comment Letter”). The discussion below is presented in the order of the numbered comments in the Comment Letter. For your convenience, references in the responses to page numbers are to the marked version of the Amendment and to the prospectus therein.
     The Company’s responses to the Staff’s comments are as follows:
General
1.   We note a number of blank spaces throughout your registration statement for information that you are not entitled to omit under Rule 430A. Please allow us sufficient time to review your complete disclosure prior to any distribution of preliminary prospectuses.

 


 

Securities and Exchange Commission
August 17, 2007
Page 2
(LATHAM & WATKINS LLP LOGO)
    Response: We supplementally advise the Staff that we will allow sufficient time prior to any distribution of preliminary prospectuses for the Staff to review the additional disclosure that will be included in the blank spaces noted by the Staff.
 
2.   Please provide us with any gatefold information such as pictures, graphics or artwork that will be used in the prospectus.
 
    Response: We supplementally advise the Staff that gatefold information, including each of the pictures, graphics and artwork that we intend to use in the prospectus, is included in the Registration Statement and the Amendment.
 
3.   Please file all required exhibits, such as your underwriting agreement and the legal opinion, in a timely manner so that we may have time to review them before you request that your registration statement become effective.
 
    Response: We have filed the majority of the exhibits with the Amendment. We supplementally advise the Staff that we will file the remaining exhibits in a timely manner so the Staff has time to review them before we request that our registration statement becomes effective.
Front Cover of Prospectus
4.   We note that you have listed six underwriters on the cover page. Please revise to identify only the lead or managing underwriters. Refer to Item 501(b)(8)(i) of Regulation S-K.
 
    Response: In response to the Staff’s comment, each of the underwriters listed on the cover page of the Prospectus is a lead or managing underwriter. The following is a list of the underwriters and their respective titles:
    J.P. Morgan Securities Inc. — Joint book-running manager
 
    Wachovia Capital Markets, LLC — Joint book-running manager
 
    Thomas Weisel Partners LLC — Co-manager
 
    Cowen and Company, LLC — Co-manager
 
    Piper Jaffray & Co. — Co-manager

2


 

Securities and Exchange Commission
August 17, 2007
Page 3
(LATHAM & WATKINS LLP LOGO)
Prospectus Summary, page 1
5.   We note your statement that the prospectus summary highlights information and that it might not contain all the information that is important to an investor. However, the prospectus summary should highlight all material information for an investor. Please revise your disclosure language accordingly.
     Response: We have revised the disclosure in response to the Staff’s comment. See page 1.
6.   Please provide support for the qualitative and comparative statements contained in your prospectus. For example, disclose the basis for your assertion that you are “the largest beauty retailer that provides one-stop shopping for prestige, mass and salon products and services in the United States.” In this regard, disclose whether this information is based upon management’s belief, industry data, reports/articles or any other source. If the statement is based upon management’s belief, please indicate that this is the case and include an explanation for the basis of such belief. Alternatively, if the information is based upon reports or articles, please provide these documents to us, appropriately marked and dated. See the following additional examples:
    Your statement that you “pioneered this unique combination of beauty superstore and specialty store attributes that focuses on all aspects of how women prefer to shop for beauty,” on pages 2 and 53, followed by the CEW and ICSC recognitions;
 
    Your reference to the $75 billion beauty products and salon services industry and your indication that you are the “only retailer to offer an off-mall, service-oriented specialty retain concept...” on page 3.
 
    Your statement that you “offer the widest selection of categories across prestige and mass cosmetics, fragrances, haircare, skincare, bath and body products and salon styling tools,” on page 52;
 
    Your statement that you offer a “compelling value proposition to [y]our customers across all of [y]our product categories,” on page 61; and
 
    Your indication that the “market for salon services and products is highly fragmented, with over 350,000 salons in the United States, approximately 75% of which have less than four employees,” on page 66.
     Response: We have revised the disclosure in response to the Staff’s comment. See pages 1, 2, 32, 52, 53, 54, 57 and 61.

3


 

Securities and Exchange Commission
August 17, 2007
Page 4
(LATHAM & WATKINS LLP LOGO)
    In addition, we supplementally provide in the table below a comparative analysis of various beauty retailers which (i) illustrates the breadth of the Company’s product and service offerings as support for the statement that we “offer the widest selection of categories across prestige and mass cosmetics, fragrances, haircare, skincare, bath and body products and salon styling tools” and (ii) shows the basis for the assertion in the prospectus that the Company is “the largest beauty retailer that provides one-stop shopping for prestige, mass and salon products and services in the United States.” As the table below indicates, the Company is the only retailer to offer products across the beauty spectrum of mass, prestige and salon products along with providing a full-service salon. In addition, relative to its beauty retail competitors, the Company has the largest average store size, which facilitates the beauty superstore format and provides customers with one-stop shopping across these categories.
                                     
                        Category
                    Average                
    Estimated   # of U.S.   U.S.   # of   store size   Mass   Prestige   Salon   Salon
Specialty Retailer   sales   stores   Debut   states   (square feet)   Products   products   products   services
 
ULTA
$ 7551   207   1990   26   10,000   ü   ü   ü   ü
 
Sally Beauty Supply
  2,4171   2,1962   1964   48   1,700   ü       ü    
 
Bath & Body Works
  1,304   1,540   1990   48   2,300   ü   ü        
 
The Body Shop
  9571   322   1989   N/A   850   ü   ü        
 
Sephora
  850   183   1998   36   4,500       ü        
 
Trade Secret
  253   633   1982   49   1,200   ü       ü   ü
 
L’Occitane
  199   148   1996   29   350       ü        
 
Beautyfirst
  N/A   77   1983   18   2,000       ü   ü   ü
 
Beauty Brands
  65   50   1995   11   6,500       ü   ü   ü
 
Harmon
  46   39   ~1980   3   6,850   ü            
 
Ricky’s
  30   20   1988   2   N/A   ü            
 
H2O
  29   11   1989   5   1,100       ü        
 
Fresh
  13   11   1991   4   625       ü        
 
Source: company filings, company websites, Capital IQ, Factiva, Lexis/Nexis
 
1   Latest actual annual sales figure
 
2   Does not include BSG division

4


 

Securities and Exchange Commission
August 17, 2007
Page 5
(LATHAM & WATKINS LLP LOGO)
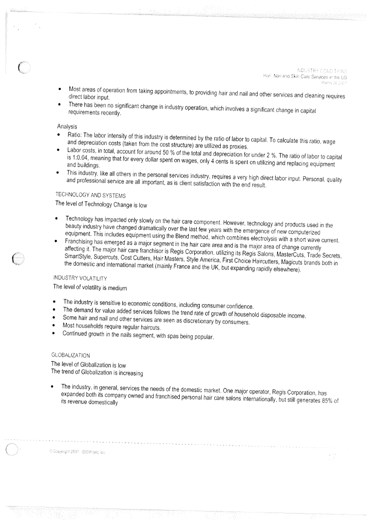
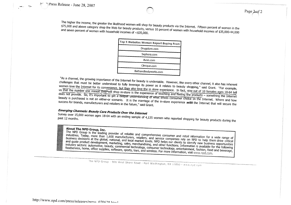
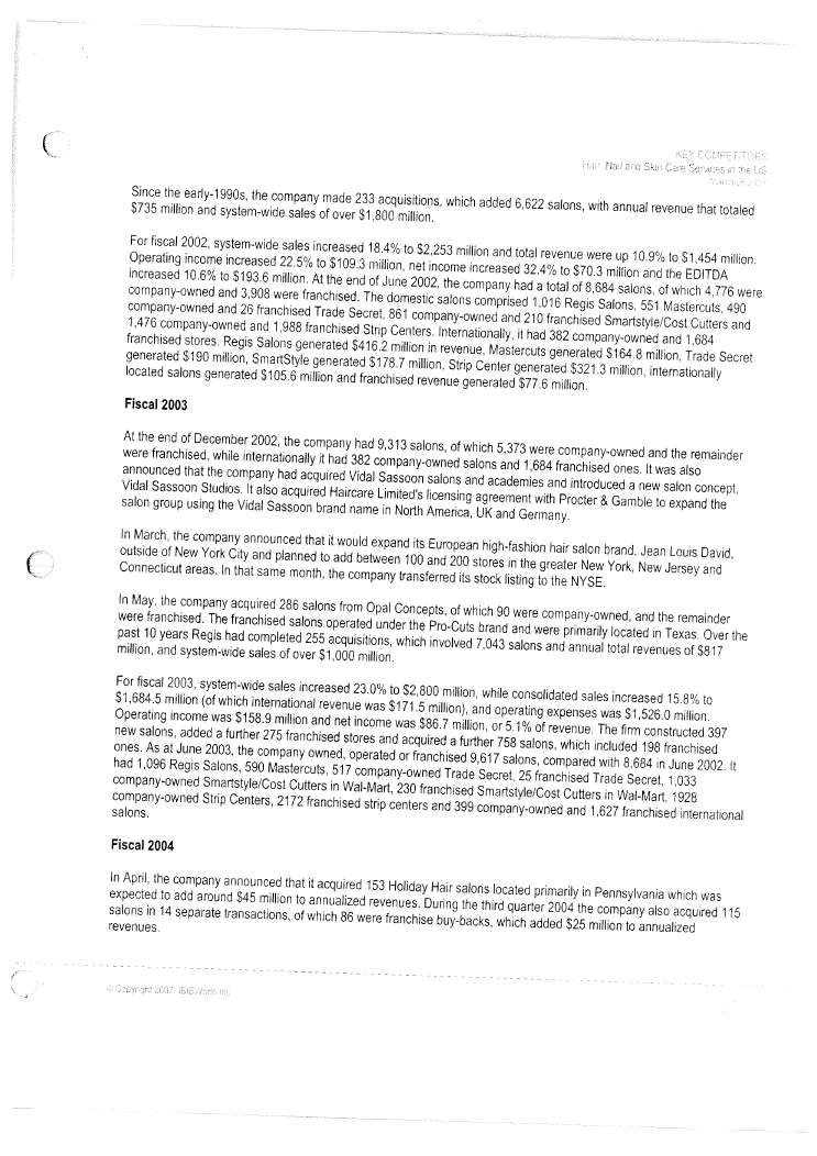
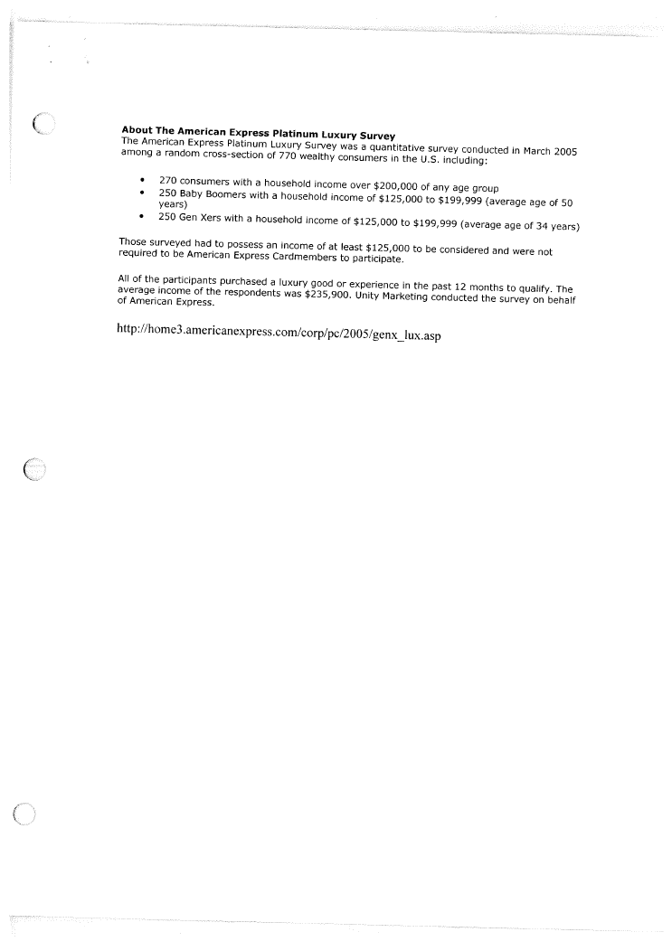
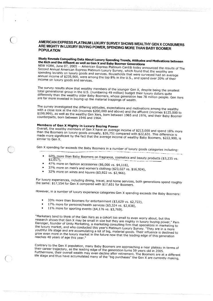
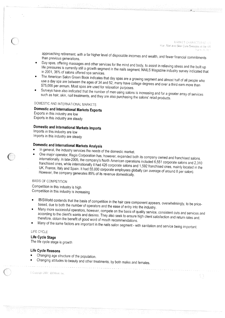
    Furthermore, we have supplementally provided in Annex B to this letter studies by Kline & Company, and IBISWorld Inc., a survey by American Express, and articles citing studies by NPD and Professional Consultants & Resources, each of which is referred to in the prospectus and contains information supporting statements in the prospectus. These documents are appropriately dated and marked to cross-reference the corresponding statements. All of the documents are publicly available and none was prepared specifically for this filing or commissioned by the Company.
 
7.   In an appropriate place in the prospectus, please revise your discussion to explain some of the terminology you use to describe your business. For example, you describe your retail locations as being located in “power centers” and “lifestyle centers” but you do not explain what you mean by these terms. See also, your reference to “planograms” and “POS data.”
 
    Response: We have revised the disclosure in response to the Staff’s comment. See pages 13, 61 and 62.
 
8.   We note that you have provided repetitive disclosure. For example, your disclosure “Our Value Proposition” on page 1 is identical to your disclosure on page 52 and your disclosure “An Off-Mall Location” on page 1 is identical to your disclosure on page 52. The note to Rule 421(b) in Regulation C states that you should avoid repetitive disclosure that increases the size of the prospectus but does not enhance the quality of the information. Mere repetition of the same language or ideas does not enhance the quality of the disclosure in your prospectus. Accordingly, revise the summary to highlight each item of key information one time, and include a more complete description of each item only once in the body of your prospectus.
 
    Response: We have revised the disclosure in the prospectus summary in response to the Staff’s comment. See pages 1 through 4.
 
9.   In your discussion of your competitive strengths, you refer to the “emotional connection” that your unique retail shopping experiences reinforces. In an appropriate place in this prospectus, please explain what you mean by this.
 
    Response: We have deleted the discussion of the “emotional connection” in the prospectus summary in response to the Staff’s comment.

5


 

Securities and Exchange Commission
August 17, 2007
Page 6
(LATHAM & WATKINS LLP LOGO)
The Offering, page 5
10.   We note your indication here that shares of your preferred stock will convert and be redeemed into common stock upon consummation of this offering. In an appropriate place in this prospectus, please provide additional details regarding the terms of conversion and redemption, including the price and number of shares that will be issued upon redemption and how the redemption will be financed.
 
    Response: We have revised the disclosure in response to the Staff’s comment. See pages 6, 24 and 97.
Risk Factors, page 8
Any significant interruption in the operations of our distribution and order fulfillment infrastructure could disrupt our ability to deliver our merchandise..., page 10
11.   We note your indication that you maintain business interruption and property insurance which mitigates the risk that you describe. If the real risk you are trying to describe is that you may have insufficient insurance coverage for this risk, please revise the heading and text of this risk factor accordingly. Otherwise, it appears that the risk you describe is not a material risk and should be deleted. This comment also applies to aspects of the risk factors entitled “If we are unable to protect our intellectual property rights, our ability to compete could be harmed ...” and “If our manufacturers are unable to produce our ULTA branded products on time ...”
 
    Response: We have revised the disclosure in response to the Staff’s comment. See pages 11, 14 and 15.
Any significant interruption in the operations of our distribution and order ... page 10
12.   In general, descriptions of risks that describe circumstances that could apply equally to other businesses that are similarly situated are generic risks that should not be included in your risk factor section. Please either eliminate these generic risks, or revise them to state specific material risks to your company or to the purchasers in this offering. For example, we note that the following risk factors appear to contain generic disclosures:
    Any material disruption of our information technology systems..., page 10

6


 

Securities and Exchange Commission
August 17, 2007
Page 7
(LATHAM & WATKINS LLP LOGO)
    A decline in general economic conditions..., page 11
 
    A reduction in traffic to anchor stores..., page 12
 
    If we fail to maintain the value of our brand, our sales are likely to decline ..., page 13
 
    Increases in the demand for, or the price of, raw materials ..., page 16
 
    We may need to raise additional funds to pursue our growth strategy..., page 17
    Please note these are examples only. Review your entire risk factor section and revise as necessary.
 
    Response: We have reviewed the risk factor section and revised several risk factors in response to the Staff’s comment. See pages 11, 12, 13, 14, 17 and 18.
Union activity at third-party transportation companies ..., page 11
13.   Please ensure that your risk factors provide the information investors need to assess the magnitude of the risk. For example, in this risk factor, you indicate that “some of these third parties” and that “[a]ttempted labor organizing activities” could result in lost sales or reduced demand (emphases added). Explain why these situations would have a material adverse effect on the company otherwise it would appear that these risks are speculative and do not constitute material risks of which investors should be made aware.
 
    Response: We have removed this risk factor in response to the Staff’s comment.
We as well as our vendors, are subject to laws, and regulations that could require us to modify our current business practices..., page 15
14.   Please revise to present this risk in more concrete and specific terms. For example, you say that you are subject “to numerous laws and regulations, including labor and employment and taxation laws to which most retailers are typically subject.” This does not explain what risk is involved in being subject to such laws and regulations nor does it describe the risk as it specifically relates to your business. So investors can better understand this risk, clearly explain the risk and how the risk relates to you.

7


 

Securities and Exchange Commission
August 17, 2007
Page 8
(LATHAM & WATKINS LLP LOGO)
    Response: We have revised the disclosure in response to the Staff’s comment. See pages 15 and 16.
Our secured revolving credit facility could limit our operational flexibility, page 17
15.   Some of your subheadings do not fully describe the risk disclosed in the text. For example, this subheading does not clearly describe the risk you are trying to disclose or, in this case, that your credit facility contains covenants that restrict your ability to take certain actions. Please revise.
 
    Response: We have revised the disclosure in response to the Staff’s comment. See page 18.
We do not anticipate paying dividends on our capital stock in the foreseeable future, page 21
16.   Ensure that the disclosure in each risk factor you include actually describes a real risk. For example, in this risk factor, you appear to be merely stating a fact about the company, as opposed to describing a risk associated with an investment in your securities. Please revise or remove this risk.
 
    Response: We have removed this risk factor in response to the Staff’s comment.
We did not register our stock options under the Securities Exchange Act ..., page 21
17.   Please advise the title and the body of this risk factor to reflect that you were required to register the stock options not that you “may” have been required to do so. In this regard, refer to SEC Release No. 34-56010, where the staff indicates that an issuer meeting the conditions of Exchange Act Section 12(g) is required to register the class of options, unless an exemption is available.
 
    Response: We have revised the disclosure in response to the Staff’s comment. See page 21.
Use of proceeds, page 24
18.   We note your indication here that the net proceeds from the offering will be used to pay accumulated dividends in arrears on your preferred stock. Please revise to

8


 

Securities and Exchange Commission
August 17, 2007
Page 9
(LATHAM & WATKINS LLP LOGO)
    discuss what the total amount of accumulated dividends in arrears amounts to and whether or not the net proceeds from this offering will satisfy all amounts due. If not, disclose whether or not this will impact the terms of the conversion and redemption of such preferred stock, as is contemplated at the consummation of this offering.
 
    Response: We have revised the disclosure in response to the Staff’s comment. See page 24.
Selected consolidated financial data, page 29
19.   In footnote 7 on page 31 you disclose that the Series III preferred stock is presented in the mezzanine section of your balance sheet. Please consider adding a brief explanation of what that means since all readers may not be familiar with the term mezzanine.
 
    Response: We have revised the disclosure in footnote 7 in response to the Staff’s comment. See pages 8, 26, 31 and F-23.
     Management’s Discussion and Analysis of Financial Condition and Results of Operations, page 32
20.   We note your discussion of “Key Trends” on page 57. Please expand your MD&A to discuss known material trends and uncertainties that will have, or are reasonably likely to have, a material impact on your revenues or income or result in your liquidity decreasing or increasing in any material way. In this regard, we note your disclosure that from 1999 to 2006 you have delivered increases in net income at a compounded annual growth rate of 51.6%. Discuss whether you expect that trend to continue. Please provide additional analysis concerning the quality and variability of your earnings and cash flows so that investors can ascertain the likelihood or the extent past performance is indicative of future performance. Please discuss whether you expect levels to remain at this level or to increase or decrease. Also, you should consider discussing the impact of any changes on your earnings. Further, please discuss in reasonable detail:
    Economic or industry-wide factors relevant to your company, and
 
    Material opportunities, challenges, and
 
    Risks in short and long term and the actions you are taking to address them.

9


 

Securities and Exchange Commission
August 17, 2007
Page 10
(LATHAM & WATKINS LLP LOGO)
    See Item 303 of Regulation S-K and SEC Release No. 33-8350.
 
    Response: We have revised the disclosure in response to the Staff’s comment. See pages 32 and 33.
 
21.   The basis of presentation section of management’s discussion and analysis discusses the types of items included in pre-opening expenses; however, it appears that remodeling expenses are also included in the pre-opening line item. Please revise the disclosure on page 35 or advise.
 
    Response: We have revised the disclosure in response to the Staff’s comment. See page 35.
 
22.   In discussing quarterly results of operations we understand some three month periods contain 13 weeks and some 14 weeks. Please revise the column headings, or other disclosure, to clarify for a reader the actual length of each period.
 
    Response: We have revised the disclosure in response to the Staff’s comment. See pages 36 and F-12.
 
    In addition, we supplementally note that, since fiscal 2000, the only quarterly reporting period comprised of 14 weeks is the fourth quarter of 2006. We advise the Staff that we will disclose the existence of the fourteenth week in the fourth quarter of 2006 in any relevant future quarterly comparative discussions.
 
23.   With respect to the discussion of gross profit for the first quarter in fiscal 2007 you indicate that the primary cause was planned accelerated depreciation. Please revise to indicate if this accelerated depreciation will have a known continuing impact, or if it is a temporary condition.
 
    Response: We have revised the disclosure in response to the Staff’s comment. See page 37.
 
24.   Please revise the last sentence of the first quarter fiscal 2007 selling, general, and administrative discussion to indicate that the decrease relates to the percentage of sales, not to an overall decrease. Also, please explain to us in greater detail what operational change took place, or if no such change, how the amount of advertising expensed is in accordance with generally accepted accounting principles.

10


 

Securities and Exchange Commission
August 17, 2007
Page 11
(LATHAM & WATKINS LLP LOGO)
    Response: We have revised the disclosure in response to the Staff’s comment. See pages 38 and F-15.
 
    In addition, we supplementally advise the Staff that the Company’s advertising expenses consist principally of paper, print, and distribution costs related to its advertising circulars. The circulars generally cover three-week advertised events or one-week advertised events. The costs related to these circulars are expensed in the periods in which the advertising event takes place. There are times when these promotional periods overlap and, occasionally, there is a week when no specific event is advertised. Week 1 of fiscal 2007 was a week in which no specific event was planned and therefore no expense was recorded; however, there was a one-week event in the corresponding week in fiscal 2006. We have determined that, when comparing first quarter fiscal 2007 with the corresponding period in fiscal 2006, this difference will be characterized as a shift in advertising expense.
Liquidity and capital resources, page 43
25.   Please revise your discussion to elaborate upon how you plan to finance your capital expenditures for new stores, particularly in light of your disclosure elsewhere that your growth strategy involves increasing your store base. In this regard, explain whether you plan to grow at the same rate as you have historically.
 
    Response: We have revised the disclosure in response to the Staff’s comment. See page 44.
 
26.   You mention here that you typically have payment terms with your vendors. Revise to elaborate upon those payment terms and how they contribute to your liquidity.
 
    Response: We have revised the disclosure in response to the Staff’s comment. See page 44.
Critical accounting policies and estimates, page 48
27.   We note your discussion of inventory valuation. Please supplement your discussion by providing quantitative analysis. Disclose the amount of valuation adjustments you have made each year and discuss the reasons for any significant changes.
 
    Response: We have revised the discussion of inventory valuation in response to the Staff’s comment to include valuation and qualifying accounts to our financial statement

11


 

Securities and Exchange Commission
August 17, 2007
Page 12
(LATHAM & WATKINS LLP LOGO)
    presentation to show the Company’s lower of cost or market inventory reserves for the fiscal years 2004, 2005, and 2006. See pages 49 and F-32.
 
    Further, we have noted in the critical accounting policies section that there have not been significant variations in the lower of cost or market or inventory shrink reserves during fiscal years 2004, 2005, or 2006. See page 50.
 
28.   We note your discussion of vendor allowances. The critical accounting policy section is intended to highlight those areas that require significant estimates and management judgment as well as those areas that involve a choice of accounting policy where different policies could produce materially different results. Expand your disclosure to more specifically discuss either the significant estimates involved in your accounting for vendor allowances or the alternative accounting treatment that was permitted under GAAP. Provide a quantitative analysis by disclosing the amount of allowances received each year and the reasons for significant changes from year to year.
 
    Response: We have removed the discussion of vendor allowances as a critical accounting policy in response to the Staff’s comment. We supplementally advise the Staff that the rationale for this change is as follows:
    The Company’s accounting reflects the guidance set forth in Emerging Issues Task Force (EITF) Issue 02-16, Accounting by a Customer (Including a Reseller) for Certain Consideration Received from a Vendor. In our opinion, there is no alternative choice in accounting policy.
 
    The Company accounts for vendor allowances in accordance with existing vendor agreements. The majority of vendor allowances terms are reflected on the purchase order and are earned at the point of product receipt. For that portion of vendor allowances that is not based on product receipts, the vendor allowances are recorded when earned based on the Company’s performance. Company performance, in most cases, is measured by providing proof of performance of co-op advertising. Volume purchase allowances are generally included in the specific purchase order terms and the allowance is earned upon product receipt. We currently have one vendor rebate agreement which is insignificant. In our opinion, there are no significant estimates or management judgments involved in this process that would have a material impact on the consolidated financial statements.
 
    Vendor allowances are considered a reduction in the vendor’s product cost and the aggregate amounts are reflected in cost of sales and gross profit as the related products are sold to customers. Variations in the amount of vendor allowances earned that have a significant impact on the Company’s gross profit and operating performance will be discussed in the Company’s “Management’s Discussion and

12


 

Securities and Exchange Commission
August 17, 2007
Page 13
(LATHAM & WATKINS LLP LOGO)
    Analysis of Financial Condition and Results of Operations,” as appropriate, in future filings.
 
    Furthermore, we advise the Staff that, as stated in the significant accounting policies section of the Company’s consolidated financial statements, substantially all of the Company’s vendor allowances have been recorded as a reduction to the inventory value of such vendors’ products and that the allowances flow through the Company’s statements of income as cost of sales. There are no vendor allowance offsets included in selling, general, and administrative expenses in the consolidated financial statements included in the prospectus.
 
29.   We note your discussion of operating leases. The critical accounting policy section is intended to highlight those areas that require significant estimates and management judgment as well as those areas that involve a choice of accounting policy where different policies could produce materially different results. Expand your disclosure to more specifically discuss either the significant estimates involved in your accounting for operating leases or the alternative accounting treatment that was permitted under GAAP. Provide a quantitative analysis by disclosing the amounts included in either your statement of operations or in your balance sheet that involve managements’ estimates.
 
    Response: We have removed the discussion of operating leases in the critical accounting policy section in response to the Staff’s comment. We supplementally advise the Staff that the rationale for this change is as follows:
    The Company’s accounting follows the guidance set forth in SFAS No. 13, Accounting for Leases, and related literature including FTB 85-3, Accounting for Operating Leases with Scheduled Rent Increases, FTB 88-1, Issues Relating to Accounting for Leases, and FSP 13-1, Accounting for Rental Costs Incurred during a Construction Period, and EITF 97-10, The Effect of Lessee Involvement in Asset Construction. In our opinion, there is no alternative accounting policy or alternative accounting treatment under U.S. GAAP.
 
    We believe the operating lease policy footnote included in our consolidated financial statements adequately reflects our accounting policies in this area.
 
    In our opinion, there are no significant estimates or management judgments which would have a material impact on the consolidated financial statements.

13


 

Securities and Exchange Commission
August 17, 2007
Page 14
(LATHAM & WATKINS LLP LOGO)
30.   We note your discussion of revenue recognition and sales returns. Disclose in more detail your policies regarding gift card breakage. Disclose the amount of income you have recorded in each period related to gift card breakage. Provide a quantitative analysis of sales return reserves by disclosing the amounts you have reserved in each period presented and the reasons for significant changes from year to year.
 
    Response: We have removed the discussion of revenue recognition and sales returns in the critical accounting policy section in response to the Staff’s comment. We supplementally advise the Staff that the rationale for this change is as follows:
    The Company’s revenue recognition is not subject to significant estimates or management judgment as all sales are recorded at the time of sale, which is when customers pay for the products or services.
 
    The Company’s sales return reserve is based on historical customer return rates. The Company’s sales return reserve at January 28, 2006, February 3, 2007, and May 5, 2007 was $279,000, $348,000, and $362,000, respectively. In our opinion, these amounts are immaterial to an understanding of our revenue recognition policy and the consolidated financial statements.
    In addition, we supplementally advise the Staff that the Company’s accounting policy for gift card breakage follows the standard terms and conditions of our gift cards. After 12 months of inactivity, the Company charges cardholders a $2.00 per month service fee as provided by law in each state in which we do business. The service fees are recorded as income each period along with corresponding reductions in the gift card liability. Gift card breakage income is included in selling, general, and administrative expenses in the consolidated statements of income and the amounts recorded in fiscal 2004, 2005, 2006, and first quarter of fiscal 2007 were $16,000, $216,000, $517,000, and $321,000, respectively, which represents significantly less than 1% of selling, general, and administrative expenses in each period presented. In our opinion, these amounts are immaterial to our consolidated financial statements.
 
31.   We note your discussion of self insurance. Disclose whether your reserves include a liability for claims incurred but not reported. Disclose the amount of the stop loss limits. Provide a quantitative analysis by disclosing the amount of the reserves at the end of each period, the amount of reserves added and utilized during each period, and the reasons for significant changes.
 
    Response: We have revised the disclosure in response to the Staff’s comment. See page 50.
 
32.   We note your discussion of impairment of long-lived assets. Disclose whether you have recorded any impairment in any of the periods presented. If you have

14


 

Securities and Exchange Commission
August 17, 2007
Page 15
(LATHAM & WATKINS LLP LOGO)
    recorded impairments, disclose the amount of impairments recorded and provide a brief narrative discussion as to the facts and circumstances involved and the assumptions and estimates used in calculating the impairment. Clarify your disclosures by noting that you are discussing long lived tangible assets.
 
    Response: We have revised the disclosure in response to the Staff’s comment to clarify that the discussion relates to tangible long-lived assets and to further state that there have been no impairment charges recorded in the accompanying consolidated financial statements for any period presented in the prospectus. See page 50.
 
33.   We note your discussion of stock-based compensation. Expand your disclosure to more specifically discuss the significant estimates involved in your accounting for stock based compensation. Provide a quantitative analysis by disclosing the amount of expense recorded in each period and the reasons for significant change. Provide a sensitivity analysis showing how the expense recorded would have materially changed had there been a specified change in an estimate used in calculating the fair value of an option award at the time of grant.
 
    Response: We have revised the disclosure in response to the Staff’s comment on specific management estimates and sensitivity analysis. See page 51.
 
    We supplementally advise the Staff that the Company’s existing disclosure informs the reader that FAS 123(R) was applicable as of January 29, 2006, while APB 25 accounting was applied to all periods prior to fiscal 2006. The stock-based compensation expense in the periods presented is disclosed on pages F-16, F-25, and F-26.
 
    In our opinion, the amounts recorded under APB 25 in fiscal 2006 and prior periods are non-recurring transactions which are not representative of the current and future operations of the Company. As a result, we respectfully submit that APB 25 compensation expense is not directly comparable to the FAS 123(R) accounting being addressed in this disclosure and, therefore, we do not believe any additional modifications to the disclosure would be meaningful to the reader.
 
34.   We note your discussion of income taxes. Expand your disclosure to more specifically discuss either the significant estimates involved in your accounting for income taxes or the alternative accounting treatment that was permitted under GAAP. In that regard please highlight for us those areas of the tax provision that involved significant management judgment or estimates, the basis for your estimate, the impact on the statement of operations as well as a sensitivity analysis showing the impact on your statement of operations given a specified change in the parameters of your estimate. Also, provide a quantitative analysis by disclosing the

15


 

Securities and Exchange Commission
August 17, 2007
Page 16
(LATHAM & WATKINS LLP LOGO)
    amount of allowances for deferred tax assets and the reasons for significant changes from year to year.
 
    Response: We have removed the discussion of income taxes in the critical accounting policy section in response to the Staff’s comment. We supplementally advise the Staff that the rationale for this change is as follows:
    The Company’s accounting follows the guidance set forth in FAS No. 109, Accounting for Income Taxes, and related literature including FIN No. 48, Accounting for Uncertainty in Income Taxes. In our opinion, there is no alternative accounting policy or alternative accounting treatment under U.S. GAAP.
 
    The Company’s tax structure is straight-forward in nature as business is conducted only in the United States.
 
    There are no income tax contingencies or uncertain tax positions.
 
    The deferred income tax asset valuation allowance reflected in our fiscal 2005 consolidated financial statements was related to a capital loss carryforward which expired in fiscal 2006 and is not relevant to the Company’s ongoing operations and is immaterial in our opinion.
 
    In our opinion, there are no extraordinary estimates or management judgments involved in the Company’s accounting for income taxes that would have a material impact on the consolidated financial statements.
Business page 52
Overview, page 53
35.   Revise to elaborate upon the multi-year strategy you embarked upon “to understand and embrace what women want in a beauty retailer.” In doing so, please explain whether the strategy you have embarked upon is still underway and describe what steps were taken to execute upon the strategy.
     Response: We have revised the disclosure in response to the Staff’s comment. See page 53.

16


 

Securities and Exchange Commission
August 17, 2007
Page 17
(LATHAM & WATKINS LLP LOGO)
36.   In an appropriate place in this discussion, revise to discuss the composition of your revenues. Specifically, disclose how much of your revenues are derived from salon services as compared to sales of merchandise.
 
    Response: We have revised the disclosure in response to the Staff’s comment. See page 34.
 
    We supplementally advise the Staff that salon revenue is less than 10% of the combined retail product and salon services sales for all periods presented. As provided within the provisions of Rule 5.03 of Regulation S-X, we have elected to combine retail sales and salon services revenues in “net sales”.
Growth Strategy, page 55
37.   We note here and on page 59 that you make reference to expanding to 1,000 retail stores. We note that, as of 2006, you have a total of 196 stores and that you opened 31 stores in 2006 and that you hope to open 45 stores in fiscal 2007. It appears that, at best, this would result in a total of 241 stores by the end of fiscal 2007. Please expand your disclosure to further explain the basis of your belief that you have an opportunity and, presumably, the ability, to expand to 1,000 stores and elaborate upon what you mean when you refer to “long-term.” In addition, provide the reader with indications of the likelihood of achieving this goal, when you expect to achieve this goal, and the elements of the strategy to achieve the goal.
 
    Response: We have revised the disclosure in response to the Staff’s comment. See page 55.
 
38.   We note your references to studies published by Kline & Company, NPD and a survey by American Express, among other third parties. Please provide copies of these studies to us, appropriately marked and dated. Also, if you commissioned any of the studies, please identify in your disclosure that you commissioned the study. You must also file as an exhibit, the author’s consent to be named in the registration statement.
 
    Response: We have supplementally provided studies by Kline & Company, and IBISWorld Inc., a survey by American Express, and articles citing studies by NPD and Professional Consultants & Resources in response to the Staff’s comment number six. We supplementally confirm that the Company did not commission any of such studies. All of the studies are publicly available and none was prepared specifically for this filing. As a result, we respectfully submit that the authors of the studies are not experts within the meaning of Rule 436 under the Securities Act of 1933, as amended (the “Act”) and

17


 

Securities and Exchange Commission
August 17, 2007
Page 18
(LATHAM & WATKINS LLP LOGO)
    Section 7 under the Act and, as such, the authors’ consents to be named in the Registration Statement are not required to be filed as exhibits to the Registration Statement.
Stores, page 59
39.   You indicate here that your new stores generally are profitable by the end of their first year of operation. Revise to elaborate upon this statement to indicate, generally, how profitable they are and quantify, where possible.
     Response: We have revised the disclosure in response to the Staff’s comment by deleting the statement that our stores are profitable by the end of their first year of operation.
Merchandising page 61
40.   In your discussion of vendor relationships, please revise to elaborate upon the top ten vendors you utilize and who represent 35% of your total annual purchases.
     Response: We have revised the disclosure in response to the Staff’s comment. See page 62.
Management, page 68
Executive Officers and Directors, Page 68
41.   For Messrs. Defforey, Eck, Lebow and Sisteron, please revise your disclosure to describe the type of business conducted by each company in which they are currently affiliated, if not clear from the business name. Clarify, for example, the business conducted by GRP.
 
    Response: We have revised the disclosure in response to the Staff’s comment. See pages 68 — 70.
Board of directors composition, page 71
42.   We note your indication that a majority of your board of directors will satisfy the current independence requirements of the NASDAQ Global Select Market upon consummation of this offering. Please revise to identify those persons who will satisfy this requirement, pursuant to Item 407(a) of Regulation S-K.

18


 

Securities and Exchange Commission
August 17, 2007
Page 19
(LATHAM & WATKINS LLP LOGO)
    Response: We have revised the disclosure in response to the Staff’s comment. See page 71.
Compensation discussion and analysis, page 73
43.   We note that you attempt to set compensation “by benchmarking against other comparable businesses¼” Please revise to identify the benchmark and its components, including component companies, pursuant to Item 402(b)(2)(xiv) of Regulation S-K.
 
    Response: In response to the Staff’s request, we have revised the discussion of the Company’s practice of benchmarking compensation to the marketplace. As noted in the “Philosophy and Overview of Compensation” section of the prospectus, compensation decisions in 2006 were driven by market forces, as derived from the Company’s experience in hiring key executives. Mr. Barkus was hired by the Company in December 2005. During the hiring process, the Company prepared a compensation package competitive with that of his prior employment and the market, based on the recruiting consultant’s broad perspective of market practices. Similarly, Mr. Bodnar was hired by the Company in October 2006, and his compensation package was likewise structured to be competitive with that of his prior employer. The 2006 compensation of Ms. Kirby and other executives was increased as a result of the Company’s recent hires, and after review of general and retail industry surveys. No specific peer group of named companies was utilized for the 2006 benchmarking.
 
    However, as noted in the “Philosophy and Overview of Compensation” section, in 2007 the Company engaged a compensation consultant to obtain specific retail industry peer group data. Specific peer group information has been included in the revised discussion.
 
44.   We note your disclosure that the compensation committee of the board of directors administers the compensation of your executive officers. Please consider, to the extent material, revising your disclosure to discuss the role of your executive officers in determining executive compensation. See Item 402(h)(2)(xv) of Regulation S-K.
 
    Response: In response to the Staff’s request, we have revised the “Philosophy and Overview of Compensation” section to describe the role of executive officers in determining executive compensation. Ms. Kirby, in her capacity as Chief Executive Officer, provides an annual report of individual executive performance (with the exception of Mr. Barkus) to the Compensation Committee for use in the determination of appropriate individual compensation. The Compensation Committee considers the report of Ms. Kirby in making the final executive compensation determinations. No other executive officers have a role in determining compensation for the named executive officers.

19


 

Securities and Exchange Commission
August 17, 2007
Page 20
(LATHAM & WATKINS LLP LOGO)
Annual bonuses, page 74
45.   Clarify your disclosure here to indicate whether Mr. Bodnar was subject to the same performance targets as Ms. Kirby and Mr. Barkus for fiscal 2006. Further, for all three persons, if known, please revise to disclose what targets you have established for fiscal 2007 annual bonuses. Please also discuss whether the compensation committee will have any discretion in granting these awards in the event the targets are either not achieved or exceeded.
 
    Response: Pursuant to the Staff’s request, the Company has revised the “Annual bonuses” discussion commencing on page 74 of the prospectus to indicate that Mr. Bodnar was not subject to the same performance targets as Ms. Kirby and Mr. Barkus for fiscal 2006. The prospectus has also been revised to disclose that the compensation committee, with the approval of the board of directors, has discretion to increase awards in the event the targets are either not achieved or exceeded.
 
    The Company has disclosed its 2006 targets in the prospectus, but has not disclosed forward-looking targets established for fiscal 2007 annual bonuses on two grounds. First, we respectfully submit that the bonus operating income targets for 2007 represent confidential financial information, the disclosure of which would cause competitive harm to the Company. Second, the disclosure of the Company’s internal targets may be misleading to investors and others.
 
    With respect to the first issue, the Company transacts business in the highly competitive retail industry and being required to disclose its internal operating income targets for the coming year would cause substantial economic harm to the competitive position of the Company and fits squarely within the type of information protected and not required to be disclosed under National Parks and Conservation Association v. Morton, 498 F.2d 765 (D.C. Cir. 1974) and Burke Energy Corporation v. Department of Energy, 583 F.Supp. 507 (1984). To that end, disclosure of the Company’s internal operating targets and public knowledge of the resulting internal projected earnings growth rate could impair the Company’s ability to purchase products and services and negotiate real estate leases at appropriate levels and on competitive terms necessary to successfully execute its growth strategies.
 
    Additionally, the disclosure of these forward-looking targets for the coming year would likely harm the Company’s competitive position in its industry by providing competitors and vendors with valuable insight into the Company’s internal profitability goals and growth strategies, thereby impacting the level of direct and indirect competition from existing or new competitors. In sum, by providing the Company’s internal operating income targets on a forward-looking basis in addition to all of the information that is already available could allow the Company’s competitors to ascertain its profitability

20


 

Securities and Exchange Commission
August 17, 2007
Page 21
(LATHAM & WATKINS LLP LOGO)
    goals and pricing, giving them an unfair advantage, and negatively impacting the Company’s ability to compete on equal footing.
 
    With respect to the second issue, we submit that the disclosure of the Company’s internal targets may also be confusing and likely misleading because those targets are based upon non-GAAP metrics that do not necessarily coincide with publicly reported results. Investors and others would not have access to all of the information related to the development of those specific internal targets. Therefore, disclosure of these targets may lead investors and others to make various assumptions about the Company’s business that may not be accurate. As a public company, the Company will periodically provide certain information and guidance regarding its business and results of operations. Its internal operating income targets for bonus purposes may or may not be in accordance with the Company’s actual or expected performance and resulting guidance. As such, the disclosure of such internal targets for bonus purposes could be misleading and lead investors and analysts to make assumptions about the Company and its business, as well as the other information that it discloses that are not accurate and lead to confusion regarding the actual expected results. Moreover, if these targets are in the public domain and the Company fails to achieve them, it is more likely that the Company’s stock price will be more volatile and this could, in turn, adversely affect the Company’s ability to compete for executive talent and could involve the company in expensive litigation or disputes.
 
    Providing industry rivals with this level of granularity into the Company’s compensation strategies could enable them to offer aggressive compensation packages to lure away key members of the Company’s management team and also may adversely impact the Company’s ability to acquire new talent. Furthermore, competitors may be able to focus such efforts even prior to when bonuses would be payable by monitoring the Company’s actual results compared to disclosed targets. Accordingly, the Company’s competitive position would be substantially harmed by the disclosure of such targets.
 
    In lieu of disclosing the actual 2007 targets, the Company has instead added disclosure to this section regarding the likelihood that the targets may be achieved in accordance with Instruction 4 to Item 402(b) of Regulation S-K.
Stock options, page 75
46.   We note that you discuss here that the compensation committee “assessed the potential value that it thought [such] options would deliver . . . over a period of years based on its assumptions as to the growth in the value of [y]our common stock.” Revise to disclose the assumptions, including quantifiable data, that were

21


 

Securities and Exchange Commission
August 17, 2007
Page 22
(LATHAM & WATKINS LLP LOGO)
    taken into account in granting such awards and how the timing of the grant of such awards was determined.
 
    Response: The “Stock Options” section and the “Philosophy and Overview of Compensation” section have been revised in response to your comments. See page 75.
 
    We supplementally advise the Staff that determinations of the appropriate option grants for Messrs. Barkus and Bodnar were made by the Compensation Committee after considering the marketplace data available through its recruiting consultants and a variety of potential growth models for the Company’s stock over the option vesting period. No specific intrinsic option valuation modeling was performed for purposes of the 2006 option grants.
 
    In addition, we have noted in the revised “Philosophy and Overview of Compensation” section that in 2007, our compensation consultant prepared a binomial option valuation model to assist in our equity program grant determinations.
Summary Compensation Table, page 77
47.   You include a “$” before the quantified amounts in some places, but not all, of the table. Please revise to consistently use this reference throughout the table, perhaps by including it at the top of the table as indicated in Item 402(c) of Regulation S-K, so that it is clear by what unit measure you are disclosing these amounts.
 
    Response: We have revised the disclosure in response to the Staff’s comment. See page 77.
Certain relationships and related party transactions, page 86
48.   Please ensure that you file all material related party contracts as exhibits, including Ms. Kirby’s secured promissory note.
 
    Response: We have filed all presently existing material related party contracts as exhibits to the Amendment, including Ms. Kirby’s secured promissory note.

22


 

Securities and Exchange Commission
August 17, 2007
Page 23
(LATHAM & WATKINS LLP LOGO)
Review and approval of related party transactions, page 87
49.   You mention here that you will review and approve transactions with your directors, executive officers, and holders of five percent or more of your common stock. Please revise this discussion to provide additional information regarding your policies and procedures relating to the review and approval of such transactions, as required pursuant to Item 404(b) of Regulation S-K. Specifically, indicate how you will determine whether a board member is “interested” in the transaction. Indicate whether these policies and procedures are in writing. And indicate whether any of the related party transactions you describe above this discussion were reviewed in accordance with this policy and, if not, state why they did not require such review.
     Response: We have revised the disclosure in response to the Staff’s comment. See page 91.
Principal stockholders, page 88
50.   Please disclose the natural person(s) or public company that has the ultimate voting or investment control over the shares held by GRP II, L.P., Doublemousse B.V. and Oak Management Corporation. We note your indication in the accompanying footnotes that certain persons have shared voting and investment power over such securities, however, please disclose with whom such power is shared.
     Response: We have revised the disclosure in response to the Staff’s comment. See pages 92-95.
Financial Statements, page F-1
General
51.   We note that the entire net proceeds of $91.9 million will be distributed to preferred stockholders. We believe in these situations that a pro forma balance sheet should be presented along side the historical balance sheet. Since the accumulated dividends will be paid from proceeds of the offering, we also believe it is appropriate to present pro forma earnings per share (for the latest year and subsequent interim period only) giving effect to the number of shares whose proceeds were used to pay the preferred dividends. Please see Staff Accounting Bulleting Topic 1 B 3 and revise accordingly.
 
    Response: We have revised the disclosure in response to the Staff’s comment to reflect a mock-up of the pro forma information presentation. See pages F-3, F-4 and F-12. We

23


 

Securities and Exchange Commission
August 17, 2007
Page 24
(LATHAM & WATKINS LLP LOGO)
    will add the referenced pro forma financial data when the offering price range is determined.
 
52.   In addition, please revise to present pro forma information giving effect to the redemption of the Series III preferred stock, including the source of funds to make the redemption and how the redemption amount was calculated.
 
    Response: We supplementally advise the Staff that we will provide the referenced pro forma financial data when the final share offering price range is determined.
Consolidated balance sheets, page F-3
53.   Please revise the balance sheet to present the number of common shares outstanding. See Rule 5.02.30 of Regulation S-X.
 
    Response: We have revised the disclosure in response to the Staff’s comment. See page F-4.
Consolidated statements of income, page F-4
54.   We note that you have revenue from sales of product and revenue from salon services. Please revise to separately show these revenues, and the related costs, on the face of the statements of income, or explain why such disclosure is not required. See Rule 5.03 of Regulation S-X.
 
    Response: We supplementally advise the Staff that salon revenue is less than 10% of the combined retail and salon sales for all periods presented. As provided within the provisions of Rule 5.03 of Regulation S-X, we have elected to combine retail sales and salon services revenues in “net sales.” See page 34.
Note 1. Business and basis of presentation, page F-9
55.   The section of unaudited interim results refers to Article 10 of Regulation S-X. Please expand this reference to disclose that this is a regulation of the U.S. Securities and Exchange Commission.
 
    Response: We have revised the disclosure in response to the Staff’s comment. See page F-11.

24


 

Securities and Exchange Commission
August 17, 2007
Page 25
(LATHAM & WATKINS LLP LOGO)
Note 2. Summary significant accounting policies, page F-10
56.   Please expand your description of your significant accounting policy with respect to receivables and the transactions that give rise to the receivables. It appears that normal business activity would generate receivables from customers, not vendors, and that you would normally have payables to vendors.
 
    Response: We have revised the disclosure in response to the Staff’s comment to clarify that receivables consist principally of vendor allowances earned but not yet received. See page F-13.
 
    In addition, we supplementally advise the Staff that all of our customer sales are either cash or credit card transactions. Our credit card receivables generally are converted into cash within 24 hours of the close of our business day in which the sale was recorded and, therefore, such receivables are reflected in cash and cash equivalents in our consolidated balance sheet.
 
57.   We note from page 63 that you have 6 million loyalty program members; however, you have not discussed the loyalty program as a critical accounting policy, nor have you identified it as a significant accounting policy. Please tell us how you account for your loyalty program and the accounting literature you rely on. We may have additional comment.
 
    Response: We have revised the disclosure in response to the Staff’s comment to add a discussion of the accounting treatment of our customer loyalty programs in the “Summary of significant accounting policies” footnote to our financial statements. See page F-14.
 
    We respectfully submit, however, that we do not believe the estimates and management judgments related to the loyalty program reserves meet the criteria for disclosure as a critical accounting policy to be included in the Company’s Management’s Discussion and Analysis of Financial Condition and Results of Operations. The Company’s loyalty program accounting is analogous to the guidance set forth in Emerging Issues Task Force (EITF) No. 01-9, Accounting for Consideration Given by a Vendor to a Customer (Including a Reseller of the Vendor’s Products) in that we recognize the related obligation as a reduction in revenue based on the estimated number of points or rewards that customers will ultimately earn based on historical redemption experience. In the period the unredeemed points and rewards expire, we reverse the related obligation into income.

25


 

Securities and Exchange Commission
August 17, 2007
Page 26
(LATHAM & WATKINS LLP LOGO)
Note 11. Share-based awards, page F-22
58.   We may have additional comment with respect to the factors considered by the company in determining the fair value of common stock for purposes of calculating the fair value of stock option grants and related compensation expense. Please provide us with a detailed schedule showing the date of specific option grants and the number of options awarded. This schedule should be provided for the prior three fiscal years as well as the subsequent interim period.
 
    Response: We note the Staff’s comment and have provided in Annex C to this letter a detailed schedule showing the date of specific option grants and the number of option awarded for the prior three fiscal years as well as the subsequent interim period. We supplementally advise the Staff that we understand that the Staff may have additional comments with respect to the factors we considered in determining the fair value of common stock for purposes of calculating the fair value of stock options grants and related compensation expense.
*     *     *     *
     If you have any questions regarding the foregoing responses or the enclosed Amendment or need additional information, please do not hesitate to contact me at (312) 876-7680 or Seth Diehl at (312) 876-7634.
         
  Very truly yours,
 
 
  /s/ Christopher D. Lueking    
 
Christopher D. Lueking 
 
  of LATHAM & WATKINS LLP   
 
Enclosures
cc:   Gregg R. Bodnar
Robert Guttman, Esq.
Seth Diehl

26


 

ANNEX A
Marked Amendment No. 1 to the Registration Statement on Form S-1
(attached)

 


 

ANNEX B
Market Studies and Surveys
(attached)

 


 


()

 


 

()

 


 

()

 


 

()

 


 

()

 


 

()

 


 

()

 


 

()

 


 

()

 


 

()

 


 

()

 


 

()

 


 

()

 


 

()

 


 

()

 


 

()

 


 

()

 


 

()

 


 

()

 


 

()

 


 

()

 


 

()

 


 

()

 


 

()

 


 

()

 


 

()

 


 

()

 


 

()

 


 

()

 


 

()

 


 

()

 


 

()

 


 

()

 


 

()

 


 

()

 


 

()

 


 

()

 


 

()

 


 

()

 


 

()

 


 

()

 


 

()

 


 

()

 


 

()

 


 

()

 


 

()

 


 


()

 


 


()

 


 

()

 


 


 

()

 


 

()

 


 

()

 


 

()

 


 

()

 


 

()

 


 

()

 


 


()

 


 

()

 


 

()

 


 

()

 


 

()

 


 

()

 


 

()

 


 

()

 


 

()

 


 

()

 


 

()

 


 

()

 


 

()

 


 

()

 


 

()

 


 

ANNEX C
Schedule of Option Grants
                 
Grant   Strike     Options
Date   Price     Granted
           
2/26/2004
  $ 1.65       628,029  
5/18/2004
    1.65       254,000  
6/21/2004
    1.65       550,000  
7/15/2004
    1.65       235,000  
10/26/2004
    1.65       406,000  
 
               
 
            2,073,029  
 
7/19/2005
    2.10       1,115,815  
10/25/2005
    2.10       197,000  
 
               
 
            1,312,815  
 
4/26/2006
    2.60       1,230,000  
10/24/2006
    2.60       755,000  
12/20/2006
    5.80       120,000  
 
               
 
            2,105,000  
 
2/28/2007
    7.52       58,000  
5/15/2007
    7.89       70,000  
 
               
 
            128,000